Dag Pieter,
Het beeld van de vier oorzaken is heel oud. Aristoteles en Thomas van Aquino schrijven erover. We kunnen vermoeden dat Aristoteles zijn wijsheid haalde bij de antieke mysteriescholen.
Bij de Azteken was het concept gekend als de ‘Nahui Ollin’, dwz. de ‘vier bewegingen’, met als een van de symbolen het geurige bloempje van ‘Philadelphus Mexicanus’, met vier bloemblaadjes die een georiënteerde witte kring vormen rond het gele bloemhart.

De Nahui Ollin is een archetype in Jungiaanse zin. Het beeld komt bijvoorbeeld overeen met het vierkant met vier poorten, in een cirkel gevat, de ‘mandala’ die men in Tibetaanse kloosters aantreft. We hebben te maken met een oerinzicht dat als beeld leeft in de diepte van de menselijke ziel. In de alchemie is hetzelfde beeld gekend als het ‘axioma van Maria Prophetissa’: “Eén wordt twee, twee wordt drie, en uit de derde komt het ene als vierde”[1].
Het kan niet anders of wij worden geboren met een archetypisch erfgoed, waarvan de Nahui Ollin deel uitmaakt. Wij kunnen als nieuwgeborenen onze weg leren vinden doorheen de wereld van zintuiglijke indrukken, we kunnen leren om te ordenen wat ons door de zintuigen bereikt, omdat we reeds over deze archetypes beschikken. Zo’n archetypes zijn geen aangeboren inzichten, die we wel of niet kunnen hebben. Zij maken deel uit van ons menselijk wezen; ons zijn omvat deze archetypes. Wij zijn in diepe zin vierledige wezens. Het beeld van de mens zelf is, vanuit een bepaald standpunt bekeken, de Nahui Ollin, een geordende kring van vier oorzaken geschikt rondom een magisch hart, dat luistert naar de naam: ‘Ik Ben’.
Een bijzonder sprekend beeld van deze vierledige oerstructuur kwam ik tegen, intussen enkele decennia geleden, in de langverwachte uitgave van de briefwisseling tussen Wolfgang Pauli (1900-1958) en Carl Gustav Jung (1875-1961)[2].
In dat boek is een verloren gewaande tekst van Pauli opgenomen (de ‘Hintergrundsphysik’, gedateerd juni 1948). Op het einde van deze tekst beschrijft Pauli een droom die hij had rond de lente-evening van 1948 (in het algemeen kende Pauli een bijzonder geestelijk belang toe aan de dagen rond de equinoxen). Deze ‘paasdroom’ bestond uit een reeks van zeven (deels mathematische) ‘beelden’:
I. Een vrouw met een vogel verschijnt. De vogel legt een ei.
II. Dit ei deelt zich vanzelf in twee.
III. Ik treed naar voor en zie dat ik nog een ei meebreng, met blauwe schaal.
IV. Dit blauwe ei deel ik in twee. Wonderlijk genoeg ontstaan nu twee
intacte blauwe eieren.

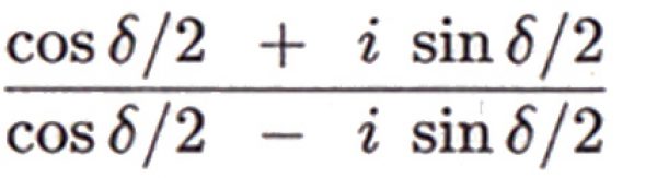
V. De vier eieren veranderen in de volgende wiskundige uitdrukkingen:

VI. Een welbekende formule ontstaat:

VII. Ik zeg: 'Dit geheel is gelijk aan eiδ en dat is de cirkel.’
De formule verdwijnt en de cirkel verschijnt.
Het beeld van de vier eieren is doorzichtig. De eieren staan voor de vier oorzaken. Merkwaardig genoeg legde Pauli dit verband niet. De twee blauwe eieren, die komen uit de hand van de fysicus Pauli, staan beeld voor de vormoorzaak en de materiële oorzaak. Dat zijn de twee oorzaken die de fysicus onder controle heeft. De fysicus kan zelf zijn experimentele opstelling kiezen (de vormoorzaak) en hij kan, door het experiment te herhalen en de resultaten ervan te noteren, de wetmatigheden opsporen die het verloop van het experiment beheersen (de materiële oorzaak).
De drie laatste beelden van de droom geven weer dat de vier eieren resulteren in een voltooide eenheid, voorgesteld door een cirkel.
Pauli geeft geen interpretatie van de paasdroom en hij vermoedt dat de wetenschap zich in zijn geheel verder moet ontwikkelen voordat de betekenis van dit soort beelden aan het licht komt [3].
Wel wijst hij op het merkwaardige feit dat de droom een perfecte weergave lijkt te zijn van het ‘axioma van Maria Prophetissa’. In het centrum van de vierbladige Nahui Ollin staat de cirkel, die overeenkomt met ‘het Ene’, de kwintessens van het fenomeen. De kwintessens is de geest of ‘logos’ van het fenomeen, die meer of minder diep indaalt in het fenomeen. In de christelijke iconografie vindt men dit beeld ondermeer terug in de voorstelling van Christus Pankreator (de Logos met vierdelig aureool).
In de ‘Klavierstunde’ (=’de pianoles’, een zogenaamde ‘aktieve fantasie’ van Pauli) vindt men het beeld van de ‘Meester’ (=Christus) die spreekt vanuit het centrum van de eenheidscirkel of ‘i-ring’ (die ook in de Paasdroom verschijnt) en van daaruit de woorden spreekt: “Blijf genadig” (‘Bleibe gnädig’)[4].
Beste groet
Jos
Eerste brief. Over zijn, waarheid en openbaring
Tweede brief. Over de 4 oorzaken
Vierde brief. Vier geboortes
Vijfde brief. Over leven en bewustzijn
Zesde brief. Over God en 4 soorten engelen
Zevende brief. Het dictum van Richard Feynman
Achtste brief. Corona blues
[1] Onder aandacht gebracht door Carl Gustav Jung. Zie: https://en.wikipedia.org/wiki/Axiom_of_Maria .
[2] C.A.Meier “Wolfgang Pauli und C.G.Jung. Ein Briefwechsel 1932-1958”; Springer, 1992. Pauli vormde samen met Bohr en Heisenberg de kern van de ‘Kopenhaagse School’.(https://en.wikipedia.org/wiki/Copenhagen_interpretation). Hij kreeg in 1945 de Nobelprijs voor de ontdekking van het exclusieprincipe. Pauli voorspelde het bestaan van het neutrino dat twee jaar voor zijn dood experimenteel werd bevestigd. Hij had grote belangstelling voor dieptepsychologie en stond zeer kritisch tegenover het darwinisme. Zie bv.: K.V.Laurikainen “Beyond the Atom. The philosophical thought of Wolfgang Pauli” (Springer 1985) en C.P.Enz “Pauli hat gesagt” Verlag Neue Zürcher Zeitung (2005).
[3] “...es will mir sogar scheinen, als ob eine solche Deutung eine Weiterentwicklung aller Wissenschaften erfordern würde” (p.192).
[4] De ‘Klavierstunde’ is gepubliceerd als bijlage bij een brief van Pauli aan von Franz (30 okt. 1953); zie Karl von Meyenn (ed.): “Wolfgang Pauli. Wissenschaftliche Briefwechsel, Band IV, Teil II: 1953-1954” Springer (1999); pp. 327-341.